- Automata Theory - Applications
- Automata Terminology
- Basics of String in Automata
- Set Theory for Automata
- Finite Sets and Infinite Sets
- Algebraic Operations on Sets
- Relations Sets in Automata Theory
- Graph and Tree in Automata Theory
- Transition Table in Automata
- What is Queue Automata?
- Compound Finite Automata
- Complementation Process in DFA
- Closure Properties in Automata
- Concatenation Process in DFA
- Language and Grammars
- Language and Grammar
- Grammars in Theory of Computation
- Language Generated by a Grammar
- Chomsky Classification of Grammars
- Context-Sensitive Languages
- Finite Automata
- What is Finite Automata?
- Finite Automata Types
- Applications of Finite Automata
- Limitations of Finite Automata
- Two-way Deterministic Finite Automata
- Deterministic Finite Automaton (DFA)
- Non-deterministic Finite Automaton (NFA)
- NDFA to DFA Conversion
- Equivalence of NFA and DFA
- Dead State in Finite Automata
- Minimization of DFA
- Automata Moore Machine
- Automata Mealy Machine
- Moore vs Mealy Machines
- Moore to Mealy Machine
- Mealy to Moore Machine
- Myhill–Nerode Theorem
- Mealy Machine for 1’s Complement
- Finite Automata Exercises
- Complement of DFA
- Regular Expressions
- Regular Expression in Automata
- Regular Expression Identities
- Applications of Regular Expression
- Regular Expressions vs Regular Grammar
- Kleene Closure in Automata
- Arden’s Theorem in Automata
- Convert Regular Expression to Finite Automata
- Conversion of Regular Expression to DFA
- Equivalence of Two Finite Automata
- Equivalence of Two Regular Expressions
- Convert Regular Expression to Regular Grammar
- Convert Regular Grammar to Finite Automata
- Pumping Lemma in Theory of Computation
- Pumping Lemma for Regular Grammar
- Pumping Lemma for Regular Expression
- Pumping Lemma for Regular Languages
- Applications of Pumping Lemma
- Closure Properties of Regular Set
- Closure Properties of Regular Language
- Decision Problems for Regular Languages
- Decision Problems for Automata and Grammars
- Conversion of Epsilon-NFA to DFA
- Regular Sets in Theory of Computation
- Context-Free Grammars
- Context-Free Grammars (CFG)
- Derivation Tree
- Parse Tree
- Ambiguity in Context-Free Grammar
- CFG vs Regular Grammar
- Applications of Context-Free Grammar
- Left Recursion and Left Factoring
- Closure Properties of Context Free Languages
- Simplifying Context Free Grammars
- Removal of Useless Symbols in CFG
- Removal Unit Production in CFG
- Removal of Null Productions in CFG
- Linear Grammar
- Chomsky Normal Form (CNF)
- Greibach Normal Form (GNF)
- Pumping Lemma for Context-Free Grammars
- Decision Problems of CFG
- Pushdown Automata
- Pushdown Automata (PDA)
- Pushdown Automata Acceptance
- Deterministic Pushdown Automata
- Non-deterministic Pushdown Automata
- Construction of PDA from CFG
- CFG Equivalent to PDA Conversion
- Pushdown Automata Graphical Notation
- Pushdown Automata and Parsing
- Two-stack Pushdown Automata
- Turing Machines
- Basics of Turing Machine (TM)
- Representation of Turing Machine
- Examples of Turing Machine
- Turing Machine Accepted Languages
- Variations of Turing Machine
- Multi-tape Turing Machine
- Multi-head Turing Machine
- Multitrack Turing Machine
- Non-Deterministic Turing Machine
- Semi-Infinite Tape Turing Machine
- K-dimensional Turing Machine
- Enumerator Turing Machine
- Universal Turing Machine
- Restricted Turing Machine
- Convert Regular Expression to Turing Machine
- Two-stack PDA and Turing Machine
- Turing Machine as Integer Function
- Post–Turing Machine
- Turing Machine for Addition
- Turing Machine for Copying Data
- Turing Machine as Comparator
- Turing Machine for Multiplication
- Turing Machine for Subtraction
- Modifications to Standard Turing Machine
- Linear-Bounded Automata (LBA)
- Church's Thesis for Turing Machine
- Recursively Enumerable Language
- Computability & Undecidability
- Turing Language Decidability
- Undecidable Languages
- Turing Machine and Grammar
- Kuroda Normal Form
- Converting Grammar to Kuroda Normal Form
- Decidability
- Undecidability
- Reducibility
- Halting Problem
- Turing Machine Halting Problem
- Rice's Theorem in Theory of Computation
- Post’s Correspondence Problem (PCP)
- Types of Functions
- Recursive Functions
- Injective Functions
- Surjective Function
- Bijective Function
- Partial Recursive Function
- Total Recursive Function
- Primitive Recursive Function
- μ Recursive Function
- Ackermann’s Function
- Russell’s Paradox
- Gödel Numbering
- Recursive Enumerations
- Kleene's Theorem
- Kleene's Recursion Theorem
- Advanced Concepts
- Matrix Grammars
- Probabilistic Finite Automata
- Cellular Automata
- Reduction of CFG
- Reduction Theorem
- Regular expression to ∈-NFA
- Quotient Operation
- Parikh’s Theorem
- Ladner’s Theorem
Turing Machine for Addition in Automata Theory
In this chapter, we will present the concept of using a Turing Machine to perform addition operation of two integers. The Turing Machine is a powerful theoretical model used in computer science to understand computation.
Turing Machine can be used for simple tasks like addition. Here, we will break down the steps involved in using a Turing Machine for adding two integers, and we will also take an example to demonstrate how it is done.
Introduction to Turing Machines
In the basic Turing Machine, there is an infinite tape divided into cells, each containing a symbol from a finite alphabet. The machine has a head that reads and writes symbols on the tape and can move left or right, depending on the rules defined by a transition function.
Turing Machines can be thought of as a basic computer that, given an input on its tape, follows a set of rules to manipulate that input until it reaches a final state.
Basic Structure of a Turing Machine for Addition
To perform addition using a Turing Machine, we need to encode the numbers on the tape in a way that the machine can process. Typically, we use a series of symbols, such as '0' to represent the numbers, and a separator, like 'B' (for blank), to separate the numbers.
For example, if we want to add two numbers, x and y, we represent them on the tape as −
$$\mathrm{0^x \:B0^y}$$
Here, 0x represents the first number with x number of 0s, B is the separator, and 0y represents the second number with y number of 0s.
Step-by-Step Addition Process
Let us see how the addition can be performed. We need to follow these steps.
- Traverse the First Number − The machine begins by traversing the first number (0x) until it reaches the separator B.
- Replace the Separator − Upon reaching B, the machine changes the state and replaces B with 0, effectively merging the two series of zeros.
- Traverse the Second Number − The machine then moves through the second series of zeros (0y).
- End of Addition − When the machine reaches the end of the second number, it replaces the last 0 with B and halts. The final state of the tape represents the sum of the two numbers.
Let's look at the Turing Machine's transition diagram for this process −
The stat transition diagram may look a little confusing but it will be easier for us if we go through an example
Example: Adding Two Numbers
Let us work through an example using the Turing Machine. We want to add 3 and 2. Here is how we would represent this on the tape and how the Turing Machine would process it.
Initial Tape − The tape begins with 03B02 = 000B00.
Steps
- Initial State (q0) − The machine starts at the beginning of the tape and is in state q0. It reads the first 0 and moves right, staying in state q0.
- Traverse First Number − The machine continues moving right, reading each 0 until it encounters B, transitioning to state q1.
- Replace Separator − Upon encountering B, the machine changes the state to q1, and it replaces B with 0. The tape now reads 000000.
- Traverse Second Number − The machine moves right, reading each 0 until it encounters B. It then transitions to state qf.
- Final State − In state qf, the machine halts. The tape now reads 00000, which represents the sum, 5.
Implementing Function with Addition
In addition to adding two separate integers, a Turing Machine can also be designed to perform operations like adding a constant value to a single integer. In this section, we will explore how a Turing Machine can compute the function f(x) = x + 2.
Representation of the Input
To represent the integer x on the Turing Machine's tape, we use a sequence of zeros, similar to how we represented numbers in the previous section.
The input for the function f(x) = x + 2 is written as −
$$\mathrm{O^{x}B}$$
Here, 0x represents the integer xxx, and B is the blank space that follows the number.
Step-by-Step Process to Compute f(x) = x+2
The Turing Machine calculates f(x) = x + 2 by following these steps −
- Traverse the Input Number − The machine begins at the leftmost part of the tape and traverses the sequence of zeros representing x until it encounters the blank B.
- Add the First Zero − Upon reaching B, the machine changes its state and replaces B with 0, effectively adding one zero to the end of the sequence.
- Add the Second Zero − The machine continues moving right and encounters another B after the first added zero. It again changes the state and replaces this B with another 0, adding the second zero.
- Halt − Finally, the machine halts with the tape containing x + 2 zeros.
Let's illustrate this process with the corresponding transition diagram −
Construct Turing Machine for Fddition
Generally in different finite automata a number is represented in binary format.
Example: 2- 010
$$\mathrm{3 - \:011}$$
$$\mathrm{4 - \:100}$$
But in case of addition using the Turing machine the system follows a unary format.
Example: 2- 11 or 00
$$\mathrm{3- \: 111 \:or\: 000}$$
$$\mathrm{4- \:1111 \:or\: 0000}$$
In unary format a number is represented
So, let's consider zero's to represent any number in the Turing machine for doing addition.
Example: Inputs 4 and 5
$$\mathrm{4 \:=\: 0000}$$
$$\mathrm{5 \:=\: 00000}$$
$$\mathrm{\text{Then }\: 4 \:+\: 5 \:=\: 0000c00000}$$
Both numbers are separated by a temporary variable c for representing the two numbers
Output
$$\mathrm{000000000 \:=\: 9}$$
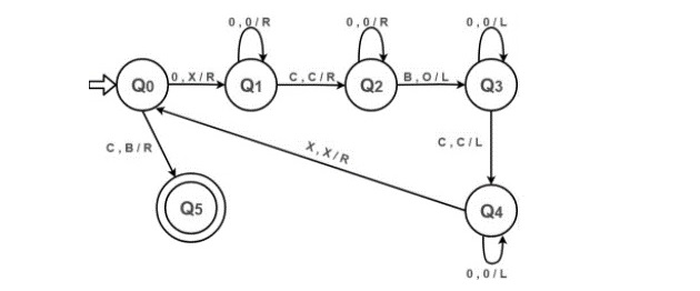
The Turing Machine (TM) is as follows −
Explanation
Step 1 − convert 0 into X jump to step 3.
Step 2 − If the symbol is "c" then convert it into blank, move right and jump to step-6.
Step 3 − Ignore 0's and move towards the right. Ignore "c", and then move right
Step 4 − Ignore 0's and move towards the right. Convert a Blank into 0, and then move left
Step 5 − Ignore 0's and move towards the left.
Step 6 − Ignore "c", move left.
Step 7 − Ignore 0's and move towards left.
Step 8 − Ignore an X, move left and jump to step 1.
Conclusion
Turing machine can solve any problem that can be solvable using polynomial time algorithms. In this chapter, we explained how the Turing Machine can be used for addition and addition-based functions as well. We presented the steps along with the state transition diagrams with example for a clear understanding.