- Automata Theory - Applications
- Automata Terminology
- Basics of String in Automata
- Set Theory for Automata
- Finite Sets and Infinite Sets
- Algebraic Operations on Sets
- Relations Sets in Automata Theory
- Graph and Tree in Automata Theory
- Transition Table in Automata
- What is Queue Automata?
- Compound Finite Automata
- Complementation Process in DFA
- Closure Properties in Automata
- Concatenation Process in DFA
- Language and Grammars
- Language and Grammar
- Grammars in Theory of Computation
- Language Generated by a Grammar
- Chomsky Classification of Grammars
- Context-Sensitive Languages
- Finite Automata
- What is Finite Automata?
- Finite Automata Types
- Applications of Finite Automata
- Limitations of Finite Automata
- Two-way Deterministic Finite Automata
- Deterministic Finite Automaton (DFA)
- Non-deterministic Finite Automaton (NFA)
- NDFA to DFA Conversion
- Equivalence of NFA and DFA
- Dead State in Finite Automata
- Minimization of DFA
- Automata Moore Machine
- Automata Mealy Machine
- Moore vs Mealy Machines
- Moore to Mealy Machine
- Mealy to Moore Machine
- Myhill–Nerode Theorem
- Mealy Machine for 1’s Complement
- Finite Automata Exercises
- Complement of DFA
- Regular Expressions
- Regular Expression in Automata
- Regular Expression Identities
- Applications of Regular Expression
- Regular Expressions vs Regular Grammar
- Kleene Closure in Automata
- Arden’s Theorem in Automata
- Convert Regular Expression to Finite Automata
- Conversion of Regular Expression to DFA
- Equivalence of Two Finite Automata
- Equivalence of Two Regular Expressions
- Convert Regular Expression to Regular Grammar
- Convert Regular Grammar to Finite Automata
- Pumping Lemma in Theory of Computation
- Pumping Lemma for Regular Grammar
- Pumping Lemma for Regular Expression
- Pumping Lemma for Regular Languages
- Applications of Pumping Lemma
- Closure Properties of Regular Set
- Closure Properties of Regular Language
- Decision Problems for Regular Languages
- Decision Problems for Automata and Grammars
- Conversion of Epsilon-NFA to DFA
- Regular Sets in Theory of Computation
- Context-Free Grammars
- Context-Free Grammars (CFG)
- Derivation Tree
- Parse Tree
- Ambiguity in Context-Free Grammar
- CFG vs Regular Grammar
- Applications of Context-Free Grammar
- Left Recursion and Left Factoring
- Closure Properties of Context Free Languages
- Simplifying Context Free Grammars
- Removal of Useless Symbols in CFG
- Removal Unit Production in CFG
- Removal of Null Productions in CFG
- Linear Grammar
- Chomsky Normal Form (CNF)
- Greibach Normal Form (GNF)
- Pumping Lemma for Context-Free Grammars
- Decision Problems of CFG
- Pushdown Automata
- Pushdown Automata (PDA)
- Pushdown Automata Acceptance
- Deterministic Pushdown Automata
- Non-deterministic Pushdown Automata
- Construction of PDA from CFG
- CFG Equivalent to PDA Conversion
- Pushdown Automata Graphical Notation
- Pushdown Automata and Parsing
- Two-stack Pushdown Automata
- Turing Machines
- Basics of Turing Machine (TM)
- Representation of Turing Machine
- Examples of Turing Machine
- Turing Machine Accepted Languages
- Variations of Turing Machine
- Multi-tape Turing Machine
- Multi-head Turing Machine
- Multitrack Turing Machine
- Non-Deterministic Turing Machine
- Semi-Infinite Tape Turing Machine
- K-dimensional Turing Machine
- Enumerator Turing Machine
- Universal Turing Machine
- Restricted Turing Machine
- Convert Regular Expression to Turing Machine
- Two-stack PDA and Turing Machine
- Turing Machine as Integer Function
- Post–Turing Machine
- Turing Machine for Addition
- Turing Machine for Copying Data
- Turing Machine as Comparator
- Turing Machine for Multiplication
- Turing Machine for Subtraction
- Modifications to Standard Turing Machine
- Linear-Bounded Automata (LBA)
- Church's Thesis for Turing Machine
- Recursively Enumerable Language
- Computability & Undecidability
- Turing Language Decidability
- Undecidable Languages
- Turing Machine and Grammar
- Kuroda Normal Form
- Converting Grammar to Kuroda Normal Form
- Decidability
- Undecidability
- Reducibility
- Halting Problem
- Turing Machine Halting Problem
- Rice's Theorem in Theory of Computation
- Post’s Correspondence Problem (PCP)
- Types of Functions
- Recursive Functions
- Injective Functions
- Surjective Function
- Bijective Function
- Partial Recursive Function
- Total Recursive Function
- Primitive Recursive Function
- μ Recursive Function
- Ackermann’s Function
- Russell’s Paradox
- Gödel Numbering
- Recursive Enumerations
- Kleene's Theorem
- Kleene's Recursion Theorem
- Advanced Concepts
- Matrix Grammars
- Probabilistic Finite Automata
- Cellular Automata
- Reduction of CFG
- Reduction Theorem
- Regular expression to ∈-NFA
- Quotient Operation
- Parikh’s Theorem
- Ladner’s Theorem
Closure Properties of Regular Sets
Throughout the articles we have seen the finite state machines and regular languages and the regular sets. In this chapter, we will cover the basics of closure properties in regular sets which is the fundamental concept in finite automata and the study of formal languages.
Closure properties describe the behaviour of regular sets under various operations, ensuring that the application of these operations on regular sets results in another regular set.
Theorem on Closure Sets
Let us see the theorem for different closure properties on regular sets one by one.
Union Operation
Regular sets are closed under the union operation. This means if we have two regular sets L1 and L2, their union L1 ∪ L2 is also a regular set.
Proof − Let L1 and L2 be regular languages over an alphabet Σ. There exist two finite automata M1 and M2 such that
$$\mathrm{L_{1} \:=\: L(M_{1}) \:\:and \:\:L_{2} \: =\: L(M_{2})}$$
Define a new finite automaton M as follows −
- States of M are Q = Q1 ∪ Q2 ∪ {q0}, where q0 is a new start state not in Q1 or Q2.
- The start state is q0.
- The final states are F = F1 ∪ F2
- The transition function δ includes −
- δ(q0, ) = {q01, q02}
- Transitions of M1 for states in Q1
- Transitions of M2 for states in Q2
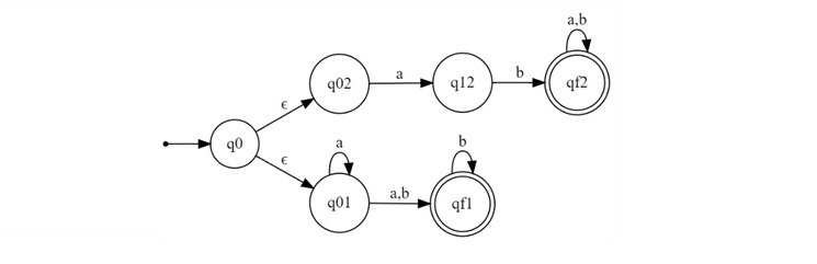
Thus, any string accepted by M1 or M2 is accepted by M, proving that L1 ∪ L2 is regular.
Example
Consider we have two machines M1 and M2 accepting languages L1 and L2 respectively.
$$\mathrm{L_{1} \:=\: a_{*}\: (a\: +\: b)\: b^{*}}$$
$$\mathrm{L_{2} \:=\: ab(a \:+\: b)^{*}}$$
The machines will be like −
And,
After applying union, the machine will be like −
Complement Operation
The complement of a regular set is also a regular set. This property indicates that if L is a regular set, then its complement LC is also regular.
Proof − If L is a regular set, there exists a finite automaton M that accepts L. Construct a new finite automaton M' with the same states and transitions as M, but with the final and non-final states swapped. The new automaton M' accepts the complement of L.
Let us see an example for language, L = ab(a + b)*
Its complement will be the same machine but non-final will be final and final will be non-final.
Intersection Operation
Regular sets are closed under the intersection operation. This means if we have two regular sets L1 and L2, their intersection L1 ∩ L2 is also a regular set.
Proof − From De Morgans laws, we know that L1 ∩ L2 = $\mathrm{(L_1^C \cup L_2^C)}$. If L1 and L2 are regular, their complements L1C and L2C are also regular. The union of regular sets is regular, and the complement of a regular set is regular. Therefore, L1 ∩ L2 is regular.
Cross Product of a Regular Set
The cross product of a regular set is also a regular set. This property indicates that combination of two regular sets will fall under regular.
Proof − Let D1 = {Q1, Σ, δ1, q01, F1} and D2 = {Q2, Σ, δ2, q02, F2} be two DFA accepting two RE L1 and L2 respectively. Let us construct a new FA, D as follows.
$$\mathrm{D \:=\: \{Q,\: \Sigma,\: \delta,\: q_{0},\: F\}}$$
Where,
$$\mathrm{Q \:=\: Q_{1}\: \times\: Q_{2}}$$
$$\mathrm{\delta((S_{1},\: S_{2}),\: i/p) \:=\: (\delta_{1}(S_{1}, \:i/p),\: \delta_{2}(S_{2},\: i/p))\: \text{ for all }\: S_{1}\: \in \:Q_{1},\: S_{2}\: \in \:Q_{2}\: \text{ and } \:i/p \:\in \: \Sigma}$$
$$\mathrm{q_{0} \:=\: (q_{01},\: q_{02})}$$
$$\mathrm{F \:=\: F_{1}\: \times \: F_{2}}$$
So, D is a DFA. Thus, DFA are closed under cross product.
Conclusion
The closure properties of regular sets ensure that regular languages are closed under various operations such as union, intersection, complement, etc. These properties are foundational in automata theory in the context of regular languages.