- Automata Theory - Applications
- Automata Terminology
- Basics of String in Automata
- Set Theory for Automata
- Finite Sets and Infinite Sets
- Algebraic Operations on Sets
- Relations Sets in Automata Theory
- Graph and Tree in Automata Theory
- Transition Table in Automata
- What is Queue Automata?
- Compound Finite Automata
- Complementation Process in DFA
- Closure Properties in Automata
- Concatenation Process in DFA
- Language and Grammars
- Language and Grammar
- Grammars in Theory of Computation
- Language Generated by a Grammar
- Chomsky Classification of Grammars
- Context-Sensitive Languages
- Finite Automata
- What is Finite Automata?
- Finite Automata Types
- Applications of Finite Automata
- Limitations of Finite Automata
- Two-way Deterministic Finite Automata
- Deterministic Finite Automaton (DFA)
- Non-deterministic Finite Automaton (NFA)
- NDFA to DFA Conversion
- Equivalence of NFA and DFA
- Dead State in Finite Automata
- Minimization of DFA
- Automata Moore Machine
- Automata Mealy Machine
- Moore vs Mealy Machines
- Moore to Mealy Machine
- Mealy to Moore Machine
- Myhill–Nerode Theorem
- Mealy Machine for 1’s Complement
- Finite Automata Exercises
- Complement of DFA
- Regular Expressions
- Regular Expression in Automata
- Regular Expression Identities
- Applications of Regular Expression
- Regular Expressions vs Regular Grammar
- Kleene Closure in Automata
- Arden’s Theorem in Automata
- Convert Regular Expression to Finite Automata
- Conversion of Regular Expression to DFA
- Equivalence of Two Finite Automata
- Equivalence of Two Regular Expressions
- Convert Regular Expression to Regular Grammar
- Convert Regular Grammar to Finite Automata
- Pumping Lemma in Theory of Computation
- Pumping Lemma for Regular Grammar
- Pumping Lemma for Regular Expression
- Pumping Lemma for Regular Languages
- Applications of Pumping Lemma
- Closure Properties of Regular Set
- Closure Properties of Regular Language
- Decision Problems for Regular Languages
- Decision Problems for Automata and Grammars
- Conversion of Epsilon-NFA to DFA
- Regular Sets in Theory of Computation
- Context-Free Grammars
- Context-Free Grammars (CFG)
- Derivation Tree
- Parse Tree
- Ambiguity in Context-Free Grammar
- CFG vs Regular Grammar
- Applications of Context-Free Grammar
- Left Recursion and Left Factoring
- Closure Properties of Context Free Languages
- Simplifying Context Free Grammars
- Removal of Useless Symbols in CFG
- Removal Unit Production in CFG
- Removal of Null Productions in CFG
- Linear Grammar
- Chomsky Normal Form (CNF)
- Greibach Normal Form (GNF)
- Pumping Lemma for Context-Free Grammars
- Decision Problems of CFG
- Pushdown Automata
- Pushdown Automata (PDA)
- Pushdown Automata Acceptance
- Deterministic Pushdown Automata
- Non-deterministic Pushdown Automata
- Construction of PDA from CFG
- CFG Equivalent to PDA Conversion
- Pushdown Automata Graphical Notation
- Pushdown Automata and Parsing
- Two-stack Pushdown Automata
- Turing Machines
- Basics of Turing Machine (TM)
- Representation of Turing Machine
- Examples of Turing Machine
- Turing Machine Accepted Languages
- Variations of Turing Machine
- Multi-tape Turing Machine
- Multi-head Turing Machine
- Multitrack Turing Machine
- Non-Deterministic Turing Machine
- Semi-Infinite Tape Turing Machine
- K-dimensional Turing Machine
- Enumerator Turing Machine
- Universal Turing Machine
- Restricted Turing Machine
- Convert Regular Expression to Turing Machine
- Two-stack PDA and Turing Machine
- Turing Machine as Integer Function
- Post–Turing Machine
- Turing Machine for Addition
- Turing Machine for Copying Data
- Turing Machine as Comparator
- Turing Machine for Multiplication
- Turing Machine for Subtraction
- Modifications to Standard Turing Machine
- Linear-Bounded Automata (LBA)
- Church's Thesis for Turing Machine
- Recursively Enumerable Language
- Computability & Undecidability
- Turing Language Decidability
- Undecidable Languages
- Turing Machine and Grammar
- Kuroda Normal Form
- Converting Grammar to Kuroda Normal Form
- Decidability
- Undecidability
- Reducibility
- Halting Problem
- Turing Machine Halting Problem
- Rice's Theorem in Theory of Computation
- Post’s Correspondence Problem (PCP)
- Types of Functions
- Recursive Functions
- Injective Functions
- Surjective Function
- Bijective Function
- Partial Recursive Function
- Total Recursive Function
- Primitive Recursive Function
- μ Recursive Function
- Ackermann’s Function
- Russell’s Paradox
- Gödel Numbering
- Recursive Enumerations
- Kleene's Theorem
- Kleene's Recursion Theorem
- Advanced Concepts
- Matrix Grammars
- Probabilistic Finite Automata
- Cellular Automata
- Reduction of CFG
- Reduction Theorem
- Regular expression to ∈-NFA
- Quotient Operation
- Parikh’s Theorem
- Ladner’s Theorem
Pumping Lemma for Regular Expression
In this chapter, we will explain one of the most important concepts in automata theory which is a little bit puzzling too; it is the concept of pumping lemma. Pumping lemma can be used for regular languages and context free languages.
Here most importantly, we will see the regular languages and pumping lemma on it. For the context, let's start with the regular languages then jump to the pumping lemma with examples for a better understanding.
What are Regular Languages?
We have crossed a long journey on regular languages. For a recap, regular languages are a special kind of language that can be recognized by a finite automaton. Think of a finite automaton as a machine with a finite memory. It reads symbols from an input string one at a time and uses its limited memory to decide whether the string belongs to the language.
For example, consider the language of all strings over the alphabet {a, b} that end with 'aa'. This language is regular because we can construct a finite automaton with two states: one for the initial state and another for a state that indicates the presence of 'aa'.
Why Do We Need the Pumping Lemma?
The pumping lemma is a way to prove that a language is not regular. It provides a powerful way to show that no finite automaton can recognize a language, even if we can't explicitly construct one.
The lemma essentially states that if a language is regular, then any sufficiently long string in the language can be pumped meaning a substring can be repeated an arbitrary number of times, and the resulting string will still be in the language.
It is little bit confusing. Let us see the lemma first and then understand through example.
The Steps for Pumping Lemma
Let's break down the pumping lemma step-by-step −
Step 1: Consider a language as regular
To begin with this lemma, we start by assuming that the language we want to analyse is regular. This assumption will eventually lead to a contradiction if the language is indeed not regular.
Step 2: Assume a constant C and select a string W
We need to select a constant 'C' and a string 'W' from the language. Now the string 'W' should have a length greater than or equal to the constant 'C'. Here this constant 'C' represents the maximum number of states in a hypothetical finite automaton that recognizes the language.
Step 3: Divide the string W into three substrings X, Y, and Z
We need to split the string 'W' into three parts, namely 'X', 'Y', and 'Z'. The important condition here is that the length of the substring 'Y' should be greater than zero. So that 'Y' must contain at least one symbol. We also need to make sure that the combined length of 'X' and 'Y' is less than or equal to the constant 'C'.
Step 4: Pump the substring Y
The most important part of the pumping lemma is that we can repeat the substring 'Y' any number of times, and the resulting string will still belong to the language. So it means that we can create new strings by taking the original string 'W' and replacing the 'Y' substring with 'Y' repeated 'i' times, where 'i' is any non-negative integer. The resulting string will be of the form 'XYi Z', where Y^i represents the substring 'Y' repeated 'i' times.
Step 5: The contradiction
If, for any choice of 'W', 'X', 'Y', and 'Z' satisfying the conditions mentioned above, we can find a value of 'i' for which the string XYi Z does not belong to the language, then our initial assumption that the language is regular must be false.
Let us see an example that what we have covered here.
Example of Pumping Lemma for Regular Expression
Suppose we have a language, L = {an bn | n >= 1}. This language consists of strings with an equal number of 'a's and 'b's, with at least one 'a' and one 'b'. Just apply the above steps inside this.
- Consider a language as regular − We start by assuming that L is a regular language.
- Assume a constant C and select a string W − Let's choose the constant C = 3 and the string W = "aaa bbb" (n = 3). The length of W is 6, which is greater than C.
- Divide the string W into three substrings X, Y, and Z − We can divide W into X = "aa", Y = "a", and Z = " bbb". Notice that the length of Y is 1, which is greater than zero, and the length of X Y is 3, which is less than or equal to C.
- Pump the substring Y − Now, let's try pumping the substring Y. If we repeat Y once, we get the string "aa a bbb" (n = 4), which is still in the language. However, if we repeat Y twice, we get the string "aa aa bbb" (n = 5), which is not in the language.
- The contradiction − Since we found a value of 'i' (i = 2) for which the string ' XY^i Z ' does not belong to the language, our initial assumption that L is regular must be false.
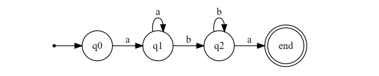
If we try to make the FSM, it will be like −
This finite automaton can accept strings with an equal number of 'a's and 'b's. However, it cannot remember the exact count of 'a's and 'b's.
When pumping the substring 'Y' (in our example, 'a'), the automaton loses track of the number of 'a's, leading to an imbalance in the number of 'a's and 'b's, thus creating a string that doesn't belong to the language. This demonstrates the limitation of a finite automaton and why L cannot be recognized by one.
Conclusion
In this chapter, we explained the concept of finite automata in regular expressions. The pumping lemma is a fundamental tool in automata theory. It is used to prove that a language is not regular, even without constructing a finite automaton.