- Automata Theory - Applications
- Automata Terminology
- Basics of String in Automata
- Set Theory for Automata
- Finite Sets and Infinite Sets
- Algebraic Operations on Sets
- Relations Sets in Automata Theory
- Graph and Tree in Automata Theory
- Transition Table in Automata
- What is Queue Automata?
- Compound Finite Automata
- Complementation Process in DFA
- Closure Properties in Automata
- Concatenation Process in DFA
- Language and Grammars
- Language and Grammar
- Grammars in Theory of Computation
- Language Generated by a Grammar
- Chomsky Classification of Grammars
- Context-Sensitive Languages
- Finite Automata
- What is Finite Automata?
- Finite Automata Types
- Applications of Finite Automata
- Limitations of Finite Automata
- Two-way Deterministic Finite Automata
- Deterministic Finite Automaton (DFA)
- Non-deterministic Finite Automaton (NFA)
- NDFA to DFA Conversion
- Equivalence of NFA and DFA
- Dead State in Finite Automata
- Minimization of DFA
- Automata Moore Machine
- Automata Mealy Machine
- Moore vs Mealy Machines
- Moore to Mealy Machine
- Mealy to Moore Machine
- Myhill–Nerode Theorem
- Mealy Machine for 1’s Complement
- Finite Automata Exercises
- Complement of DFA
- Regular Expressions
- Regular Expression in Automata
- Regular Expression Identities
- Applications of Regular Expression
- Regular Expressions vs Regular Grammar
- Kleene Closure in Automata
- Arden’s Theorem in Automata
- Convert Regular Expression to Finite Automata
- Conversion of Regular Expression to DFA
- Equivalence of Two Finite Automata
- Equivalence of Two Regular Expressions
- Convert Regular Expression to Regular Grammar
- Convert Regular Grammar to Finite Automata
- Pumping Lemma in Theory of Computation
- Pumping Lemma for Regular Grammar
- Pumping Lemma for Regular Expression
- Pumping Lemma for Regular Languages
- Applications of Pumping Lemma
- Closure Properties of Regular Set
- Closure Properties of Regular Language
- Decision Problems for Regular Languages
- Decision Problems for Automata and Grammars
- Conversion of Epsilon-NFA to DFA
- Regular Sets in Theory of Computation
- Context-Free Grammars
- Context-Free Grammars (CFG)
- Derivation Tree
- Parse Tree
- Ambiguity in Context-Free Grammar
- CFG vs Regular Grammar
- Applications of Context-Free Grammar
- Left Recursion and Left Factoring
- Closure Properties of Context Free Languages
- Simplifying Context Free Grammars
- Removal of Useless Symbols in CFG
- Removal Unit Production in CFG
- Removal of Null Productions in CFG
- Linear Grammar
- Chomsky Normal Form (CNF)
- Greibach Normal Form (GNF)
- Pumping Lemma for Context-Free Grammars
- Decision Problems of CFG
- Pushdown Automata
- Pushdown Automata (PDA)
- Pushdown Automata Acceptance
- Deterministic Pushdown Automata
- Non-deterministic Pushdown Automata
- Construction of PDA from CFG
- CFG Equivalent to PDA Conversion
- Pushdown Automata Graphical Notation
- Pushdown Automata and Parsing
- Two-stack Pushdown Automata
- Turing Machines
- Basics of Turing Machine (TM)
- Representation of Turing Machine
- Examples of Turing Machine
- Turing Machine Accepted Languages
- Variations of Turing Machine
- Multi-tape Turing Machine
- Multi-head Turing Machine
- Multitrack Turing Machine
- Non-Deterministic Turing Machine
- Semi-Infinite Tape Turing Machine
- K-dimensional Turing Machine
- Enumerator Turing Machine
- Universal Turing Machine
- Restricted Turing Machine
- Convert Regular Expression to Turing Machine
- Two-stack PDA and Turing Machine
- Turing Machine as Integer Function
- Post–Turing Machine
- Turing Machine for Addition
- Turing Machine for Copying Data
- Turing Machine as Comparator
- Turing Machine for Multiplication
- Turing Machine for Subtraction
- Modifications to Standard Turing Machine
- Linear-Bounded Automata (LBA)
- Church's Thesis for Turing Machine
- Recursively Enumerable Language
- Computability & Undecidability
- Turing Language Decidability
- Undecidable Languages
- Turing Machine and Grammar
- Kuroda Normal Form
- Converting Grammar to Kuroda Normal Form
- Decidability
- Undecidability
- Reducibility
- Halting Problem
- Turing Machine Halting Problem
- Rice's Theorem in Theory of Computation
- Post’s Correspondence Problem (PCP)
- Types of Functions
- Recursive Functions
- Injective Functions
- Surjective Function
- Bijective Function
- Partial Recursive Function
- Total Recursive Function
- Primitive Recursive Function
- μ Recursive Function
- Ackermann’s Function
- Russell’s Paradox
- Gödel Numbering
- Recursive Enumerations
- Kleene's Theorem
- Kleene's Recursion Theorem
- Advanced Concepts
- Matrix Grammars
- Probabilistic Finite Automata
- Cellular Automata
- Reduction of CFG
- Reduction Theorem
- Regular expression to ∈-NFA
- Quotient Operation
- Parikh’s Theorem
- Ladner’s Theorem
Convert Regular Expression to Turing Machine
Turing Machines are the most powerful machines that can accept any language which is acceptable by less powerful machines like Finite State Machine, Pushdown Automata, Linear Bounded Automata, etc.
In this chapter, we will see how to convert a regular expression into a Turing machine. We will start with the basics of Turing machines and regular expressions, and then see step-by-step process of the conversion with examples for a better understanding.
Turing Machines and Regular Expressions
A Turing machine is a theoretical computing device that can simulate any computer algorithm.
- It consists of a tape (which serves as memory),
- a head (which reads and writes symbols on the tape), and
- a set of states that guide its operations based on the symbols it reads.
On the other hand, a regular expression is a pattern that specifies a set of strings within a formal language. Regular expressions are often used to describe search patterns in text.
The process of converting a regular expression into a Turing machine involves several steps. This conversion helps us understand how simple patterns described by regular expressions can be executed by a Turing machine.
Steps to Convert a Regular Expression into a Turing Machine
The conversion process from a regular expression to a Turing machine involves five key steps. We will discuss each step in detail and provide an example to illustrate the process.
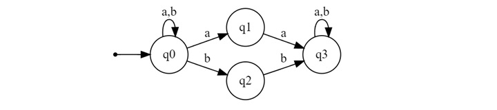
Convert the Regular Expression to a Finite Automata
The first step in converting a regular expression to a Turing machine is to transform the regular expression into a finite automata. A finite automata is a simple machine used to recognize patterns. It consists of states, transitions between those states, and accepts or rejects input strings based on these transitions.
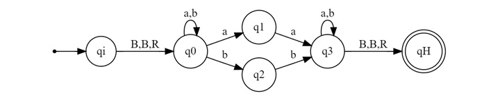
For instance, consider the regular expression (a + b)* (aa + bb) (a + b)*. This expression describes strings made of a combination of as and bs. To convert this into a finite automata:
- Start by building loops that handle (a + b)*, meaning any combination of as and bs.
- Then, create transitions for (aa + bb).
- Finally, include another loop for (a + b)* at the end.
Modify Initial and Final States to Intermediate States
After converting the regular expression to a finite automata, the next step is to modify the initial and final states of this automata. These states will become intermediate states in the Turing machine.
This modification is necessary because we will introduce a new initial state and a new final state in the Turing machine. The original initial and final states from the finite automata will now serve as transitional or intermediate states.
Insert a New Initial State and a New Final State
The third step is to introduce a new initial state and a new final state in the Turing machine.
The new initial state will have a transition that begins with a blank symbol. The blank symbol is typically represented as B, , or another placeholder symbol, and it indicates an empty space on the tape. This transition will lead to what was previously the initial state of the finite automata.
Similarly, a new final state will be introduced, with transitions that end with a blank symbol, indicating that the machine has finished processing the input.
These new states help the Turing machine begin and end the computation in a controlled manner.
Modify Transitions to Include Tape Operations
The fourth step is to convert the transitions of the finite automata into a form suitable for a Turing machine. In a Turing machine, each transition involves not just changing states, but also reading and writing symbols on the tape, and moving the tape head either left or right.
For example, if a finite automata transition reads an input a, we modify this to a Turing machine transition that reads a, writes a back on the tape, and then moves the head to the right. This is represented as (input, input, R) where R stands for the right movement of the tape head. Similarly, if the input is b, the transition will be (b, b, R).
By following this method, every transition in the finite automata is adjusted to perform the necessary tape operations in the Turing machine.
Finalize the Turing Machine
The last step is to complete the conversion by ensuring all transitions are properly defined. The Turing machine should now be capable of accepting the same language that was described by the original regular expression.
Conclusion
Converting a regular expression to a Turing machine is a systematic process that converts simple pattern recognition with complex computation. By following the five steps we discussed above with examples, we can transform any regular expression into a Turing machine that accepts the same language.