- Place Value, Ordering and Rounding
- Home
- Decimal Place Value: Tenths and Hundredths
- Decimal Place Value: Hundreds to Ten Thousandths
- Writing a Decimal Number Less Than 1 Given its Name
- Writing a Decimal Number Greater Than 1 Given its Name
- Writing a Decimal Number Given its Name: Advanced
- Reading Decimal Position on a Number Line: Tenths
- Reading Decimal Position on a Number Line: Hundredths
- Introduction to Ordering Decimals
- Ordering Decimals
- Rounding Decimals
Reading Decimal Position on a Number Line: Hundredths
Introduction
Consider the number line given below
It is divided into two major divisions 0-1 and 1-2. Each of this is further divided into 10 divisions which are tenths. The numbers in between the tenths are the hundredths. The letters shown on the number line represent hundredths.
Consider reading the decimal 0.35 represented by letter b on the number line. It is thirty-five hundredths and is less than one. so it lies between 0 and 1; more precisely midway between thirty hundredths (three tenths) and forty hundredths (four tenths)
So we read the decimal 0.35 or thirty-five hundredths on the number line as a point midway between 0.30 and 0.40 or 0.3 and 0.4
Similarly, a represents 0.06; c is 0.42; d is 0.67; e is 0.72; f is 0.91; g, h and i represent values greater than 1. g is 1.08; h is 1.29; and i is 1.57
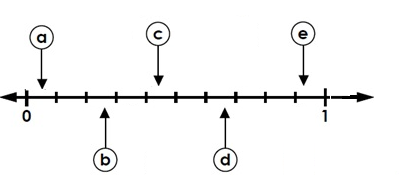
Problem 1
Identify the decimal numbers denoted by the letters on the number line given below.
Solution
Step 1:
a represents a value lying between 0 and 0.1. It represents 6 hundredths or 0.06.
Step 2:
Similarly, b is 0.27; c is 0.43; d is 0.67; e is 0.92
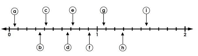
Problem 2
Identify the decimal numbers denoted by the letters on the number line given below.
Solution
Step 1:
g represents a value lying between 1.1 and 1.2 It represents 12 hundredths or 1.12.
So g represents 1.12;
Step 2:
Similarly, h is 1.34; i is 1.58 and j is 1.88