IPv4 - Subredes



Cada clase IP est equipado con su propia mscara de subred predeterminada que lmites que IP clase a se han prefijado nmero de redes y prefijo nmero de hosts por red. Direccionamiento IP Con Clase no proporciona ninguna flexibilidad de tener menos cantidad de hosts por red o ms redes IP por clase.

O CIDR Enrutamiento entre dominios sin clase proporciona la flexibilidad de pidiendo prestados bits de parte del Host de la direccin IP que utiliza como Red en la red, denominada subred. Mediante la divisi n en subredes, una nica direccin IP de Clase A se puede utilizar para pequeos sub-redes que proporciona una mejor las capacidades de gestin de red.

Clase A Las subredes

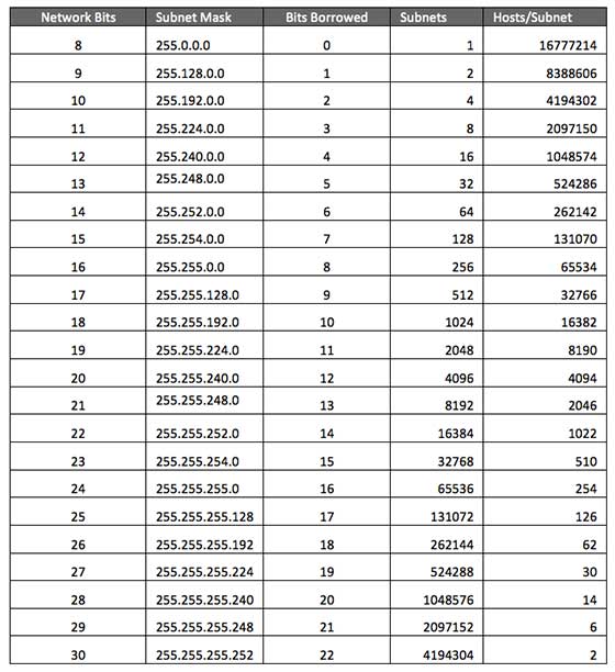
En la Clase A, el primer octeto slo se utiliza como identificador de red y el resto de tres octetos que se utilizan para ser asignados a los hosts (es decir 16777214 Hosts por Red). Para hacer ms subred de Clase A, bits de parte del Host son tomados y se cambia la mscara de subred en consecuencia.

Por ejemplo, si una MSB (Most Significant Bit) es tomada de los bits de host de segundo octeto y agrega a la red direccin, crea dos subredes (21=2) con (223-2) 8388606 Hosts por subred.

Se cambia la mscara de subred para reflejar la divisi n en subredes. A continuacin se muestra una lista de todas las posibles combinaciones de clase UN subredes:

Class A Subnets

En el caso de las subredes, la primera y la ltima direccin IP de cada subred se utiliza para Nmero de subred y el broadcast de subred direccin IP, respectivamente. Debido a que estas dos direcciones IP no pueden ser asignados a los hosts, sub-compensacin no puede ser aplicado por uso de ms de 30 bits, Bits de la Red, que ofrece menos de dos hosts por subred.

Subredes Clase B

De forma predeterminada, el uso de redes con clase, 14 bits se utilizan como bits de Red (214)) 16384 Redes y (216-1) 65534 Hosts. Direcciones IP de Clase B se puede dividir en subredes del mismo modo que las direcciones de Clase A, pidiendo prestados bits de los bits de host. A continuacin se recoge todas las posibles combinaciones de Clase B en subredes:

Class B Subnets

Subredes Clase C

Las direcciones IP Clase C normalmente se asignan a un tamao muy pequeo red ya que slo puede tener 254 hosts en una red. A continuacin se muestra una lista de todas las posibles combinaciones de Clase B dividida en subredes IP address (Direccin IP):

Class C Subnets
Advertisements