- DBMS - Home
- DBMS - Overview
- DBMS - Architecture
- DBMS - Data Models
- DBMS - Data Schemas
- DBMS - Data Independence
- DBMS - System Environment
- Centralized and Client/Server Architecture
- DBMS - Classification
- Relational Model
- DBMS - Codd's Rules
- DBMS - Relational Data Model
- DBMS - Relational Model Constraints
- DBMS - Relational Database Schemas
- DBMS - Handling Constraint Violations
- Entity Relationship Model
- DBMS - ER Model Basic Concepts
- DBMS - ER Diagram Representation
- Relationship Types and Relationship Sets
- DBMS - Weak Entity Types
- DBMS - Generalization, Aggregation
- DBMS - Drawing an ER Diagram
- DBMS - Enhanced ER Model
- Subclass, Superclass and Inheritance in EER
- Specialization and Generalization in Extended ER Model
- Data Abstraction and Knowledge Representation
- Relational Algebra
- DBMS - Relational Algebra
- Unary Relational Operation
- Set Theory Operations
- DBMS - Database Joins
- DBMS - Division Operation
- DBMS - ER to Relational Model
- Examples of Query in Relational Algebra
- Relational Calculus
- Tuple Relational Calculus
- Domain Relational Calculus
- Relational Database Design
- DBMS - Functional Dependency
- DBMS - Inference Rules
- DBMS - Minimal Cover
- Equivalence of Functional Dependency
- Finding Attribute Closure and Candidate Keys
- Relational Database Design
- DBMS - Keys
- Super keys and candidate keys
- DBMS - Foreign Key
- Finding Candidate Keys
- Normalization in Database Designing
- Database Normalization
- First Normal Form
- Second Normal Form
- Third Normal Form
- Boyce Codd Normal Form
- Difference Between 4NF and 5NF
- Structured Query Language
- Types of Languages in SQL
- Querying in SQL
- CRUD Operations in SQL
- Aggregation Function in SQL
- Join and Subquery in SQL
- Views in SQL
- Trigger and Schema Modification
- Storage and File Structure
- DBMS - Storage System
- DBMS - File Structure
- DBMS - Secondary Storage Devices
- DBMS - Buffer and Disk Blocks
- DBMS - Placing File Records on Disk
- DBMS - Ordered and Unordered Records
- Indexing and Hashing
- DBMS - Indexing
- DBMS - Single-Level Ordered Indexing
- DBMS - Multi-level Indexing
- Dynamic B- Tree and B+ Tree
- DBMS - Hashing
- Query Processing and Optimization
- Heuristics in Query Processing
- Transaction and Concurrency
- DBMS - Transaction
- DBMS - Scheduling Transactions
- DBMS - Testing Serializability
- DBMS - Conflict Serializability
- DBMS - View Serializability
- DBMS - Concurrency Control
- DBMS - Lock Based Protocol
- DBMS - Timestamping based Protocol
- DBMS - Phantom Read Problem
- DBMS - Dirty Read Problem
- DBMS - Thomas Write Rule
- DBMS - Deadlock
- Backup and Recovery
- DBMS - Data Backup
- DBMS - Data Recovery
- DBMS Useful Resources
- DBMS - Quick Guide
- DBMS - Useful Resources
- DBMS - Discussion
DBMS - Testing Serializability
Serializability plays an important role in maintaining data consistency when multiple transactions are executed concurrently. Testing serializability means determining whether a schedule (sequence of transactions) is equivalent to a serial schedule or not. Here the transactions are executed one at a time.
Read this chapter to learn the concept of serializability and how to test it using precedence graphs. We will also understand its rules with detailed examples and step-by-step construction of graphs.
What is Serializability?
Serializability means the result of executing transactions concurrently is the same as if they were executed one by one in some serial order.
- A serial schedule is used to processes transactions sequentially. This gives accuracy but reducing system efficiency.
- A non-serial schedule interleaves instructions from multiple transactions. It increases performance at the risk of producing data conflicts.
To maintain both accuracy and efficiency, we need to test whether a non-serial schedule behaves like a serial one or not. If it does, the schedule is considered serializable. If not, it risks producing incorrect results. This is making the schedule non-serializable.
Importance of Testing Serializability
Testing serializability helps us analyze whether databases handle multiple transactions correctly or not, even when the transactions are running simultaneously.
Consider an online banking system where two customers transfer money simultaneously. If their transactions are not scheduled correctly, then the balances may be incorrect. It can cause serious financial issues. Testing serializability prevents such problems by validating that overlapping transactions produce the correct results.
How to Test Serializability
The most common method for testing serializability is constructing a precedence graph (also called a serializability graph). This is one graph based approach which can be represented visually. This directed graph helps determine whether a schedule is serializable.
- If the graph has no cycles, the schedule is serializable.
- If the graph contains cycles, the schedule is non-serializable.
Rules for Constructing a Precedence Graph
Follow these steps to create a precedence graph for a schedule −
Create a Node for Each Transaction − Each transaction gets its own node. For example, if the schedule has T1 and T2, then make two nodes as labeled T1 and T2.
Add a Directed Edge $(T_i \rightarrow T_j)$ − Draw a directed edge from $T_i$ to $T_j$. If one of these dependencies exists −
- Rule 1: Write-Read (W - R) − If $T_i$ writes a value, and $T_j$ reads that value afterward, draw an edge $T_i \rightarrow T_j$.
- Rule 2: Read-Write (R - W) − If $T_i$ reads a value, and $T_j$ writes that value afterward. Then draw an edge $T_i \rightarrow T_j$.
- Rule 3: Write-Write (W - W) − If $T_i$ writes a value, and $T_j$ writes the same value later. Then draw an edge $T_i \rightarrow T_j$.
These rules track conflicts where transaction order matters. If these dependencies create a cycle then the transactions cannot be serialized. So it is making the schedule non-serializable.
Detailed Examples of Testing Serializability
Let us work through two detailed examples to understand how precedence graphs are built.
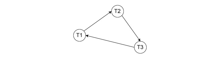
Example 1: Non-Serializable Schedule
Consider three transactions T1, T2, and T3 executing the following operations −
| Time Step | T1 | T2 | T3 |
|---|---|---|---|
| 1 | Write(A) | ||
| 2 | Read(A) | ||
| 3 | Write(B) | ||
| 4 | Read(B) | ||
| 5 | Write(A) |
Step 1: Create Nodes
We create nodes for T1, T2, and T3.
Step 2: Apply Precedence Rules
- T1 → T2 (W - R) − T1 writes A, and T2 reads A. This creates an edge T1 → T2.
- T2 → T3 (W - R) − T2 writes B, and T3 reads B. This creates an edge T2 → T3.
- T3 → T1 (W - W) − T3 writes A, which T1 wrote earlier. This creates an edge T3 → T1.
Step 3: Draw the Graph
The precedence graph looks like this −
Since the graph contains a cycle, the schedule is non-serializable. It means interleaving transactions in this order could lead to incorrect results.
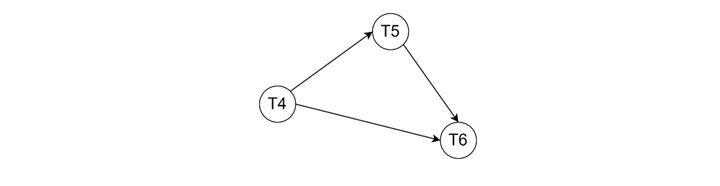
Example 2: Serializable Schedule
Consider another schedule involving transactions T4, T5, and T6 −
| Time Step | T4 | T5 | T6 |
|---|---|---|---|
| 1 | Write(A) | ||
| 2 | Write(C) | ||
| 3 | Read(A) | ||
| 4 | Read(C) | ||
| 5 | Write(B) | ||
| 6 | Read (B) |
Step 1: Create Nodes
We create nodes for T4, T5, and T6.
Step 2: Apply Precedence Rules
- T4 → T5 (W - R) − T4 writes A, and T5 reads A. This creates an edge T4 → T5.
- T4 → T6 (W - R) − T4 writes C, and T6 reads C. This creates an edge T4 → T6.
- T5 → T6 (W - R) − T5 writes B, and T6 reads B. This creates an edge T5 → T6.
Step 3: Draw the Graph
The precedence graph looks like this −
Since the graph has no cycles, the schedule is serializable. This means executing the transactions in this order will produce correct results.
Special Considerations in Serializability Testing
- Same Transaction Operations − If a transaction reads and writes the same variable internally, no edges are created.
- Independent Variables − If two transactions work on different variables, they are independent, and no edges are drawn.
- Graph Analysis − Check for cycles carefully, as even one cycle makes the schedule non-serializable.
Conclusion
In this chapter, we explained how to test the serializability of transactions using precedence graphs. We discussed the core concept of serializability and highlighted the rules for building precedence graphs. Testing serializability is necessary for database systems because it shows that even when transactions run simultaneously, they produce correct and consistent results.